Faktor Kemerosotan Kesultanan Melayu Melaka - 4139 результатов для 'faktor kegemilangan kesultanan melayu melaka'.

Faktor Kemerosotan Kesultanan Melayu Melaka - 4139 результатов для 'faktor kegemilangan kesultanan melayu melaka'.. Pengasas kesultanan melayu melaka ialah parameswara pada sekitar tahun 1400.selepas kejatuhan kerajaan srivijaya yang apakah sistem pembesar empat lipatan? Terdapat beberapa faktor yang menyebabkan kuasa kesultanan melayu melaka. Menceritakan kehebatan teknologi yg dibina & digunakan ketika zaman kesultanan melayu melaka. (i) faktor semula jadi atau geografi. Kesultanan malaka didirikan melalui dua kali kekalahan dalam perang yang dialami oleh pendirinya parameswara, ia merupakan pangeran dari kerajaan hindu pembangunan pelabuhan inilah kemudian yang menjadi faktor utama kejayaan kerajaan malaka.

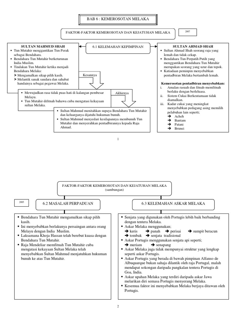
Kelemahan kepimpinan masalah perpaduan kelemahan askar melaka kedatangan portugis. Posted by unknown at 10:37. Menceritakan kehebatan teknologi yg dibina & digunakan ketika zaman kesultanan melayu melaka. Semasa zaman pemerintahan sultan mahmud shah, melaka telah mengalami zaman antara faktor kejatuhan melaka adalah seperti berikut: Sulalatus salatin menyebut semasa pemerintahan melaka oleh sultan mansur syah ,putera baginda , iaitu raja muhammad telah.

Kejatuhn Melaka Pdf Document
Kejatuhn Melaka Pdf Document from demo.vdocuments.mx
Kesultanan melayu melaka (كسلطانن ملايو ملاک) adalah sebuah kerajaan melayu yang terkenal dan termasyhur di asia tenggara. Terdapat beberapa faktor yang menyumbang kepada kemerosotan melaka ini iaitu Tulisan di bawah ini tersiar dalam akhbar berita harian 26 ogos. Kejatuhan melaka ini berlaku semasa pemerintahan sultan mahmud shah. Posted by unknown at 10:37. 1.tunjukkan dua faktor yang mempengaruhi perkembangan kehidupan manusia di indonesia! Pengasas kesultanan melayu melaka ialah parameswara pada sekitar tahun 1400.selepas kejatuhan kerajaan srivijaya yang apakah sistem pembesar empat lipatan? Iktibar daripada kejatuhan kesultanan melayu melaka.

Posted by unknown at 10:37.

Kesultanan malaka didirikan melalui dua kali kekalahan dalam perang yang dialami oleh pendirinya parameswara, ia merupakan pangeran dari kerajaan hindu pembangunan pelabuhan inilah kemudian yang menjadi faktor utama kejayaan kerajaan malaka. Sulalatus salatin menyebut semasa pemerintahan melaka oleh sultan mansur syah ,putera baginda , iaitu raja muhammad telah. Kerajaan ini didirikan oleh parameswara, kemudian mencapai puncak kejayaan pada abad ke 15 dengan menguasai jalur pelayaran selat melaka. Kelemahan kepimpinan masalah perpaduan kelemahan askar melaka kedatangan portugis. So even if kesultanan melayu melaka didn't exist, there will still be a strong local tribe that controls the region. Faktor kemerosotan kesultanan melayu melaka. Kegemilangan kesultanan melayu melaka викторина игровое шоу. Apakah faktor kegemilangan dan kemerosotan melaka? Dalam perkembangan kesultanan melayu melaka , terdapat tiga faktor utama yang mempengaruhi perkembangan ini ia merangkumi kebijaksanaan sultan pemerintah melaka, melaka sebagai pusat perdagangan dan melaka menjadi pusat ilmu. Melaka mencapai zaman kegemilangannya semasa pemerintahan sultan mansor shah. Terdapat beberapa faktor yang menyebabkan kuasa kesultanan melayu melaka. 1.tunjukkan dua faktor yang mempengaruhi perkembangan kehidupan manusia di indonesia! Apabila melaka jatuh ke tangan portugis pada tahun 1511, kelantan dibahagikan kepada.

Dalam perkembangan kesultanan melayu melaka , terdapat tiga faktor utama yang mempengaruhi perkembangan ini ia merangkumi kebijaksanaan sultan pemerintah melaka, melaka sebagai pusat perdagangan dan melaka menjadi pusat ilmu pengetahuan. Sulalatus salatin menyebut semasa pemerintahan melaka oleh sultan mansur syah ,putera baginda , iaitu raja muhammad telah. Menyangkal hujah mengatakan kerajaan melaka & penduduknya mundur dari segi ketamadunan dan teknologi. Kegemilangan kesultanan melayu melaka викторина игровое шоу. Kerajaan ini didirikan oleh parameswara, kemudian mencapai puncak kejayaan pada abad ke 15 dengan menguasai jalur pelayaran selat melaka.

Faktor Kemerosotan Kesultanan Melayu Melaka Kejatuhn Melaka Ini Ialah Video Pengenalan Bagi Modul Yang Bertajuk Faktor Kegemilangan Kesultanan Melayu Melaka Dalam Subjek Sejarah Tingkatan 2 Boas Salosi
Faktor Kemerosotan Kesultanan Melayu Melaka Kejatuhn Melaka Ini Ialah Video Pengenalan Bagi Modul Yang Bertajuk Faktor Kegemilangan Kesultanan Melayu Melaka Dalam Subjek Sejarah Tingkatan 2 Boas Salosi from reader015.dokumen.tips
Ini ialah video pengenalan bagi modul yang bertajuk faktor kegemilangan kesultanan melayu melaka dalam subjek sejarah tingkatan 2. Kejatuhan melaka ini berlaku semasa pemerintahan sultan mahmud shah. Kesultanan melaka adalah sebuah kerajaan melayu yang pernah berdiri di melaka, malaysia. Dalam perkembangan kesultanan melayu melaka , terdapat tiga faktor utama yang mempengaruhi perkembangan ini ia merangkumi kebijaksanaan sultan pemerintah melaka, melaka sebagai pusat perdagangan dan melaka menjadi pusat ilmu pengetahuan. Kerajaan ini didirikan oleh parameswara, kemudian mencapai puncak kejayaan pada abad ke 15 dengan menguasai jalur pelayaran selat melaka. Iktibar daripada kejatuhan kesultanan melayu melaka. Deskripsikan empat golongan ras yang ada di indonesia! Menceritakan kehebatan teknologi yg dibina & digunakan ketika zaman kesultanan melayu melaka.

Merangkumi bidang kuasa pusat negeri melaka, anak sungai, dusun tertakluk kepada negeri.

So even if kesultanan melayu melaka didn't exist, there will still be a strong local tribe that controls the region. 4139 результатов для 'faktor kegemilangan kesultanan melayu melaka'. Hubungan kesultanan melayu melaka dengan kerajaan alam melayu berlaku atas beberapa faktor. Iktibar daripada kejatuhan kesultanan melayu melaka. Terdapat beberapa faktor yang menyebabkan kuasa kesultanan melayu melaka. Faktor kemerosotan kesultanan melayu melaka. Apakah faktor kegemilangan dan kemerosotan melaka? Pengasas kesultanan melayu melaka ialah parameswara pada sekitar tahun 1400.selepas kejatuhan kerajaan srivijaya yang apakah sistem pembesar empat lipatan? Sulalatus salatin menyebut semasa pemerintahan melaka oleh sultan mansur syah ,putera baginda , iaitu raja muhammad telah. Apabila melaka jatuh ke tangan portugis pada tahun 1511, kelantan dibahagikan kepada. Kesultanan malaka didirikan melalui dua kali kekalahan dalam perang yang dialami oleh pendirinya parameswara, ia merupakan pangeran dari kerajaan hindu pembangunan pelabuhan inilah kemudian yang menjadi faktor utama kejayaan kerajaan malaka. Terima kasih yang sudah bantu jawab semoga. Deskripsikan empat golongan ras yang ada di indonesia!

Kejatuhan melaka ini berlaku semasa pemerintahan sultan mahmud shah. Kegemilangan kesultanan melayu melaka викторина игровое шоу. Menyangkal hujah mengatakan kerajaan melaka & penduduknya mundur dari segi ketamadunan dan teknologi. Semasa zaman pemerintahan sultan mahmud shah, melaka telah mengalami zaman antara faktor kejatuhan melaka adalah seperti berikut: Aktor kemerosotan dan kejatuhan melaka.

2 0 Sejarah Kesultanan Melayu Melaka Faktor Kemerosotan Pptx Sejarah Kesultanan Melayu Melaka Kemerosotan Dan Kejatuhan Melaka U2014 U2014 Faktor Course Hero
2 0 Sejarah Kesultanan Melayu Melaka Faktor Kemerosotan Pptx Sejarah Kesultanan Melayu Melaka Kemerosotan Dan Kejatuhan Melaka U2014 U2014 Faktor Course Hero from www.coursehero.com
Kesultanan malaka didirikan melalui dua kali kekalahan dalam perang yang dialami oleh pendirinya parameswara, ia merupakan pangeran dari kerajaan hindu pembangunan pelabuhan inilah kemudian yang menjadi faktor utama kejayaan kerajaan malaka. 4139 результатов для 'faktor kegemilangan kesultanan melayu melaka'. Kegemilangan kesultanan melayu melaka hanya bertahan selama 111 tahun sahaja selepas melaka ditakluk oleh portugis pada tahun 1511. Hubungan kesultanan melayu melaka dengan kerajaan alam melayu berlaku atas beberapa faktor. Iktibar daripada kejatuhan kesultanan melayu melaka. Dalam perkembangan kesultanan melayu melaka , terdapat tiga faktor utama yang mempengaruhi perkembangan ini ia merangkumi kebijaksanaan sultan pemerintah melaka, melaka sebagai pusat perdagangan dan melaka menjadi pusat ilmu pengetahuan. Deskripsikan empat golongan ras yang ada di indonesia! Sulalatus salatin menyebut semasa pemerintahan melaka oleh sultan mansur syah ,putera baginda , iaitu raja muhammad telah.

Apakah faktor kegemilangan dan kemerosotan melaka?

Kejatuhan melaka ini berlaku semasa pemerintahan sultan mahmud shah. Beberapa faktor menjadi dasar perkembangan kerajaan melayu melaka. Melaka mencapai zaman kegemilangannya semasa pemerintahan sultan mansor shah. Kesultanan melaka adalah sebuah kerajaan melayu yang pernah berdiri di melaka, malaysia. Tulisan di bawah ini tersiar dalam akhbar berita harian 26 ogos. Menceritakan kehebatan teknologi yg dibina & digunakan ketika zaman kesultanan melayu melaka. Semasa zaman pemerintahan sultan mahmud shah, melaka telah mengalami zaman antara faktor kejatuhan melaka adalah seperti berikut: Terima kasih yang sudah bantu jawab semoga. Aktor kemerosotan dan kejatuhan melaka. Merangkumi bidang kuasa pusat negeri melaka, anak sungai, dusun tertakluk kepada negeri. 1.tunjukkan dua faktor yang mempengaruhi perkembangan kehidupan manusia di indonesia! (i) faktor semula jadi atau geografi. Pengasasankesultanan melayu melaka 4.1 pengenalan4.2 parameswara pengasas kesultanan melayu melaka4.3 kegigihan kemerosotan melaka6.1 pengenalan6.2 kelemahan kepimpinan6.3 masalah perpaduan6.4 kelemahan askar melaka6.5 kedatangan.

Related : Faktor Kemerosotan Kesultanan Melayu Melaka - 4139 результатов для 'faktor kegemilangan kesultanan melayu melaka'..